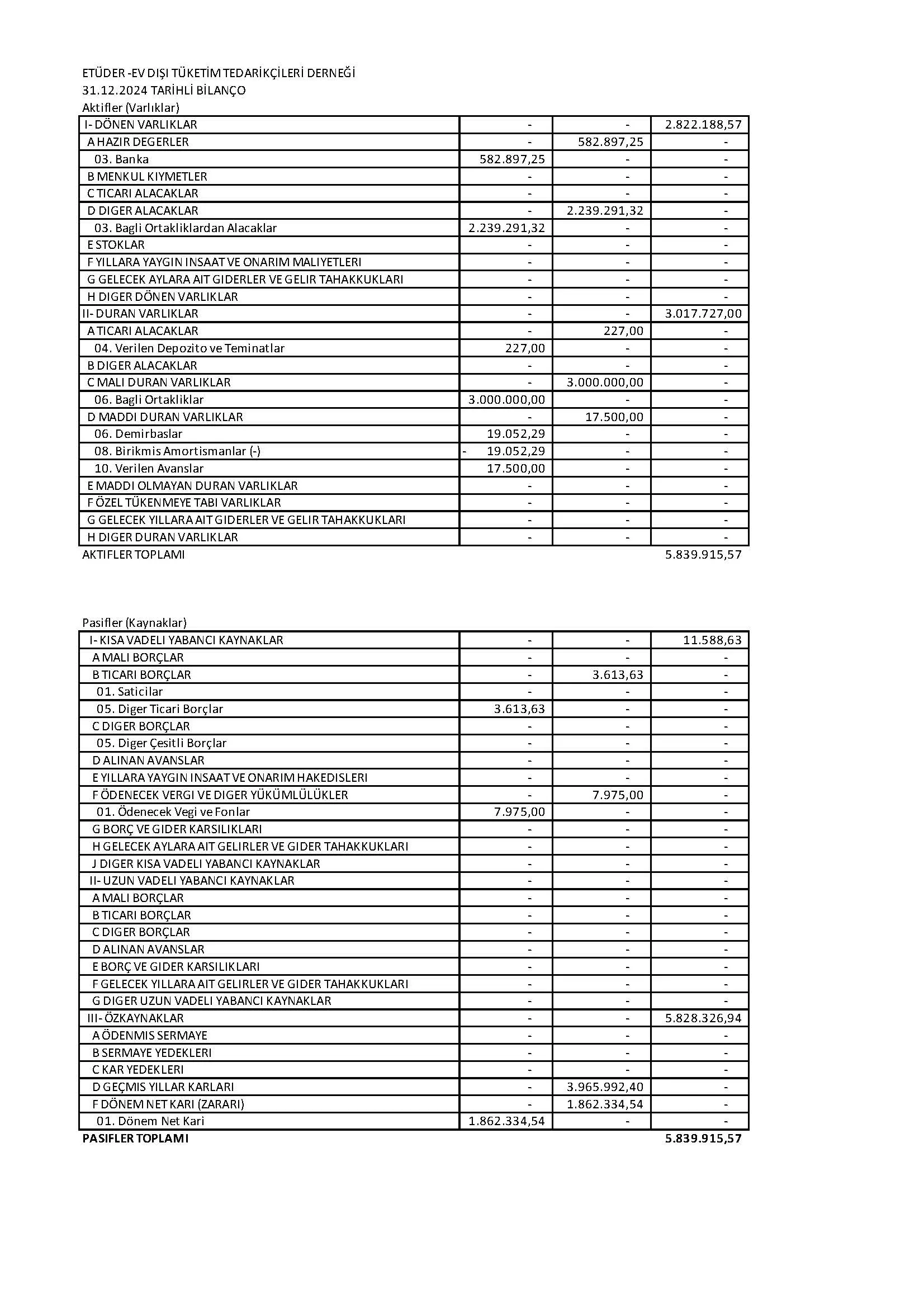
Bilanço
ETÜDER olarak mali işlerimizi şeffaf ve güvenilir bir şekilde yürütüyor, tüm gelir ve giderlerimizi düzenli olarak kayıt altına alıyoruz. Bilanço sayfamız üzerinden üyelerimiz ve kamuoyuyla açık bir bilgi paylaşımı gerçekleştiriyor, kaynak kullanımımızı şeffaf biçimde göstererek hesap verebilirliğimizi güçlendiriyoruz.